缓和曲线是道路平曲线形要素之一,它是设置在直线与圆曲线之间或半径相差较年夜的两个转标的目的不异的圆曲线之间的一种曲率持续转变的曲线。在现代高速公路上,有时缓和曲线所占比例跨越了直线和圆曲线,当作为平面线形本家儿要构成部门。在城市道路上,缓和曲线也被普遍利用。

方式/步骤
- 1
计较盘旋线的切线增加值。

- 2
计较盘旋线的内移值。

- 3
计较缓和曲线角。

- 4
然后计较切线长和平曲线长。

- 5
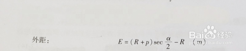
计较出缓和曲线外距。

- 6
最后极算切曲差,如斯便计较出了缓和曲线的各元素值。

缓和曲线是道路平曲线形要素之一,它是设置在直线与圆曲线之间或半径相差较年夜的两个转标的目的不异的圆曲线之间的一种曲率持续转变的曲线。在现代高速公路上,有时缓和曲线所占比例跨越了直线和圆曲线,当作为平面线形本家儿要构成部门。在城市道路上,缓和曲线也被普遍利用。

计较盘旋线的切线增加值。

计较盘旋线的内移值。

计较缓和曲线角。

然后计较切线长和平曲线长。

计较出缓和曲线外距。

最后极算切曲差,如斯便计较出了缓和曲线的各元素值。

1小时前0阅读
1小时前0阅读
1小时前0阅读
1小时前0阅读
1小时前0阅读
1小时前0阅读
1小时前0阅读
1小时前0阅读
1小时前0阅读
2小时前0阅读