
工具/原料
- 电脑
- simulink
方式/步骤
- 1
库:Physical Signals/Linear Operators
如下图所示。

- 2
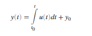
申明
PS积分器块在当前时候步长输出其输入的积分。以劣等式暗示块的输出:

- 3
此中具体信息,如下图所示。

- 4
解算器利用当前输入值和上一时候步的状况值,计较当前时候步的PS积分器块的输出。为了撑持此计较模子,PS积分器块在当前时候步保留其输出,以供解算器鄙人一时候步计较其输出。块还为解算器供给初始前提,以便在模拟运行起头时计较块的初始状况。初始前提的默认值为0。可以在“块”对话框中为初始前提指定另一个值作为参数。
- 5
参数
初始前提
指定用于在模拟运行起头时计较块的初始状况的初始前提。默认值为0。

- 6
端口
该模块有一个物理旌旗灯号输入端口和一个物理旌旗灯号输出端口。








